上百名水兵感染后 这位美航母舰长为何公开建议
即使根据其官方口径表述,美国海军的核动力超级航空母舰“西奥多·罗斯福”号上,目前都已经至少有“数十人”(dozens)新冠肺炎检测呈阳性了。然而3月26日,美国代理海军部长莫得利仍然信誓旦旦地表示,该舰依然具备战斗力!
▲莫(代)部长:蛐蛐数十感染者安能奈何我上千舰员的超级航母,大丈夫啦!
上级都是这个态度了,3月31日,“罗斯福”号舰长海军上校布雷特·E·克罗齐耶(Capt。 Brett E。 Crozier)却向高层发出了一封言辞恳切的公开求援信,称如果不“立刻采取果断措施”,“罗斯福”号的情况将进一步恶化,请求有关部门“救救他的水兵”。同时,“罗斯福”号上还有匿名高级军官向媒体表示,该航母上已有150到200名水兵已经在新冠肺炎检测中呈现阳性。
▲美海军“罗斯福”号核航母舰长克罗齐耶上校
目前,“罗斯福”号仍然处于部署状态,停在关岛。我们将对这封求援信进行全文翻译并作简评,为了方便汉语阅读与完整原文的对应,我们适当调整了分页。
[以下为翻译]
主题:就新型冠状病毒肺炎(COVID-19)现状的求助信
速览内容:如果命令下达,美国海军舰艇“西奥多·罗斯福”号可以立刻齐装满员出海,面对任何胆敢挑战美国及其盟友的对手,我们都能随时准备好,战而胜之。病毒显然是有影响的,而在战争中,我们愿意承受和平时无法接受的既定风险。但是,战争并未打响,是所以我们不能坐视因为这场传染病蔓延,更不能放任任何一名水兵无辜丧命。我们必须立即采取措施,严格依照疾控中心和海军行政命令083/20的指导纲要,以避免发生悲剧性结果。
1。问题描述。依照目前的舰员在岗状况,“罗斯福”号无法遵照并执行疾控中心的方案与海军行政命令083/20的指导纲要。根据疾控中心的指导方针、海军行政命令083/20的要求,也依照对“罗斯福”号上现状的观察,确保水兵个人身体健康的唯一办法,是坚决彻底地执行14天隔离制度。然而因为舰上既有的有限空间条件,我们无法照此操作。目前舰上的传染病传播状况,是从未间断而且正在加速的。
2。对测试的不恰当关注。测试对新冠肺炎的传播并无直接影响。测试只能证实病毒的存在。然而,因为舰上空间狭小,而且已有相当数量人员测试结果呈阳性,那么根据海军行政命令的精神,舰上每一名水兵都是新冠肺炎感染者的“密切接触人员”,不论职级军衔。测试的用途,应该是在舰艇与舰员在检疫隔离期结束,准备重新开始运作时,确定检疫隔离期是否达成其效果。我们当前的工作重心,必须是严格依照疾控中心与海军行政命令的指导方针,进行检疫隔离。
目前对新冠肺炎的测试方法,无法证实某一人员是否健康无虞;只能证明某一水手已经感染新冠肺炎。之前的例子已经证明,最初33名“罗斯福”号上确诊阳性的水兵里,有21%(33人中的7人)在第一次测试中呈阴性,却在随后的1-3天里表现出感染症状。
根据“罗斯福”号上首例新冠肺炎患者的数据,大约有21%的水兵虽然首次测试结果呈现阴性,但是他们实际上已经是感染者,并会在随后若干天里表现出感染症状。目前这些人员已经被转移到岸上的限制活动区域。
3。不恰当的检疫隔离手段。除了寥寥可数的高级军官住舱以外,舰上任何住舱都没有条件进行检疫隔离。根据指导文件,数以千计的“密接”水兵需要进行检疫隔离。“罗斯福”号已经开始将部分人员转运到岸上的限制活动区域。而在多个岸上的限制活动区域中,其中仅有一个是符合海军行政命令指导纲要要求的。感染新冠肺炎的水兵居住在这些岸上区域里,情况并不好:有2名已经确诊阳性的水兵搭起行军床,同住在一个岸上健身房里。尽管这种状况比军舰上稍好,群体检疫隔离并不是恰当的解决方案,也与现行指导纲要相悖。
▲“群体免疫,纯属放屁,我已中招,感觉良好,下一题”
为了阻止病毒的传播,疾控中心、海军与陆战队公共卫生中心都建议进行单人检疫隔离。他们的推荐方案都反对进行群体检疫隔离。这些有关部门的建议与海军行政命令083/20一致,还要求限制或禁止未穿戴防护装备者接触感染人员,避免使用感染人员触碰过的设备。
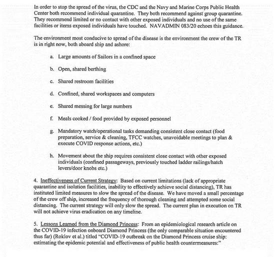
目前“罗斯福”号舰员所处的环境,是最利于病毒传播的环境,岸上情况与舰上情况都是如此:
a。有限空间内有大量水兵
b。开放且共享的床位
c。共享的卫生间设施
d。有限且共用的工作空间与电脑设备
e。大量人员共用的杂物
f。由未穿戴防护设备的人员制作的炊事餐饮
g。必须进行的瞭望、行动任务,要求人员保持密切接触(备餐、炊事与打扫、旗舰指挥中心战位的值班、不可避免的人员聚集以开会制订计划、采取对传染病防疫措施,等等)
h。人员在舰上的移动会导致与感染人员持续密切接触(有限的走廊空间,之前触碰过的梯级扶手、舱盖把手、门把手,等等)
4。当前策略的有效性问题:基于目前所受的限制(缺乏恰当的检疫隔离场所,无法有效实现拉大社交距离),“罗斯福”号已经尽可能采取有限的措施,延缓疾病传播措施。我们已经将少部分舰员转运至岸上,提高了舰上的打扫与清洁的频率,并尽可能尝试拉大社交距离。但是当前措施仅能延缓疾病传播,是绝对不可能消灭病毒的。
5。“钻石公主”号游轮的教训:有一篇流行病学研究论文《“钻石公主”号上的新冠肺炎:预测其传染潜力与公共健康措施的应对有效性》,分析了游轮“钻石公主”号上的新冠肺炎传染情形(这是迄今为止唯一相似的案例)。
▲航母这铺位密集程度,自然比“钻石公主”高到不知哪里去了
“游轮是大量人员在有限空间内集聚的典型,人员分布较为均匀。在2020年2月3日,有报告指出新冠肺炎在‘钻石公主’号游轮上爆发,首例病人大致于1月21-25日之间登船。到2月4日,公共卫生部门采取了迁移与隔离感染乘客,检疫隔离健康乘客的措施。到2月20日,3700名乘客与船员中的619人(17%)在测试中呈现阳性。我们预计,如果不进行任何干预,在1月21日到2月19日之间,3700人种的2920人(79%)会被感染。也就是说检疫隔离预防了2307个感染案例的发生。我们的研究表明,如果在2月3日尽早疏散所有乘客,可能就会只有76人感染。”(而不是现实中的619人)
文中梗概的结尾是这样的:
“结论:这种传染性很强的疾病,在游轮环境下传播能力得到进一步增强。相比于不采取施,公共卫生措施防止了超过2000人的感染。然而,如果及早疏散乘客,原本可以防止更多的感染案例发生。”
在将感染病例进行隔离这件事上,“钻石公主”号的条件比“罗斯福”号优越得多。因为游轮是给付费客户提供服务的,拥有更高比例的独立、区隔居住空间。但是即便他们采取了措施,仍然有数以百计的感染案例。根据现实条件,“罗斯福”号最好的结果,很可能都比“钻石公主”号恶劣的多。
6。建议采取的新策略:“罗斯福”号状况发展下去,会有2个结果。
a。立即强行准备作战,尽可能恢复作战能力。这就不需要传染病防治计划了。我们即刻以当前条件投入战争,带病作战。(这样)“罗斯福”号永远不可能达到无人感染的目标,新冠肺炎导致的伤亡将会(随着战损)发生。
b。优先实现舰上无人感染的目标。这就要求我们严格执行疾控中心的指导纲要,采取系统性措施将舰艇消毒。这也要求我们即刻采取果断措施。这将耗费相当的时间与金钱。
因为战争并没有迫在眉睫,我们建议向着和平时期的结果去努力。
“罗斯福”号有两个需要实现的目标:
a。预防不必要的死亡,减少接触新冠肺炎的水兵数量,阻绝疾病的进一步传播。
b。尽可能快地恢复战备状态,恢复作战能力。
为了实现这些目标,必须要确保舰艇能达成完全防疫状态。即每一个登舰水兵都未受感染,舰上环境必须被彻底消毒。只要有一个感染病毒的水兵登舰,就会导致传染病在全舰范围内传播。所以,我们必须严格根据疾控中心与海军行政命令指导方针,让超过4000名舰员离舰到岸上寄宿,由此实现舰艇和舰员的彻底消毒。
▲要在码头上找个地方装这么多人,对美军来说确实不容易
7。结论。必须即刻采取果断措施。从一艘现役美国核动力航空母舰上撤离绝大多数舰员,并对他们进行2个星期的隔离看起来是非常手段。仍然有一定比例的舰员(大约10%)需要滞留在舰上,确保和维护核反应堆的运行,打扫舰艇,确保安全,并保证有紧急状况的应对能力。这是必要的风险。这些值班人员,能够确保航空母舰和舰载机能够尽可能快地恢复作战状态,并保证我们的水手身体健康与生命安全。若保持现状,继续让超过4000名年轻的男女水兵滞留在“罗斯福”号上,就会继续蒙受不必要的风险,还辜负了水兵(及其家属)对我们的信任。
将绝大多数水兵转运到岸上进行隔离,有诸多挑战。这种措施需要政治上的解决方案,但也是正确的措施。我们并未处于战争状态。士兵们没有必要去送死。如果我们不立刻采取措施,就是我们未能保护我们最信任的作战资产——我们的水兵。
我请求,立刻向我舰提供所有可能的资源与协助,找到符合海军行政命令和疾控中心标准的检疫隔离区域,让我的全体舰员隔离,以应对传染病疫情。
署名及签字:B。 E。 克罗齐耶
[翻译结束]
此前我们曾经表述过,“美军已经大规模卷入疫情”,其中的一个例证便是“罗斯福”号核航母上的情况。
这封信的求告意味之重,即使不说“字字泣、句句血”,相去亦不远矣。甚至刨去信里的内容,这封信的存在与公开,就很令人感慨——
作为书面语言,官样文牍,克罗齐耶舰长只能在规范语言与态度之内表达自己的焦急——比如,他说舰上疫情“ongoing and accelerating”虽是相当严重的措辞,但没有数据支撑,仍显得比较苍白。
▲毕竟五角大楼已经下令:泄露感染数量者,军法处置!
从官方所称的“数十”,到“舰上的匿名高级军官”透露“实际检测阳性达200人”,不禁让人想到了不久前在伊朗导弹袭击后,美军脑震荡患者数量如何从0人“发展”到100人以上的“有限人传人”。考虑到美军舰艇上军官军衔相对不算高,能叫上高级的也就不几个,其实非常容易盘查。但在我们看来,即使盘查到也无所谓了——
美国高层尚在华盛顿忙着甩锅,其三军统帅特朗普自称“战时总统”,主要精力却在发钱救市,至于其女婿掌控防疫物资这种“外戚”问题,那都是小事了。
应对传染病疫情,需要军队与政府系统从高层就开始下定决心、集中精力。而素来为我强敌的美国在此次应对中,即使不说文恬武嬉,也足以称作三心二意。面对海军基层愈演愈烈的染病问题,他们首先做的是对数字的隐瞒与模糊。
▲美国政客的极致是里根——本来就是个演员,哪怕错了也能演得煞有介事,相比之下,“政治素人”川普就只剩下卖萌了
而作为掌管超过4000人单位的首长机关,“罗斯福”号舰部(姑且借用我军称呼)的态度是相当明确的,其中尤以克罗齐耶舰长表现突出:既然美国海军内部上行下达的渠道已经无法产生正面效用,那么就不惜代价,把事情捅出来:抛弃自己个人的前程不要了,也要想办法救自己的部下。
讲完了这结构性矛盾所导致的困局,我们不妨回到信件的具体内容里,从微观上的细节,探讨一下美军的防疫工作。
一艘美式核动力超级航母上有超过4000名舰员,相当于一座浮动的小型城市(当然指的是西方那种城市标准)。相比真实的人类城市,其硬件条件是相当差的——空间狭小受限、大量设备是人员共用的,虽然美国航母舰长并未提到这一点(甚至美国全国都没有意识到这一点),新冠肺炎的“气溶胶传播特性”,使得舰艇舱室依赖通风也是个巨大的防控难点;
▲稍不注意,航母上的通风管道就会成为病毒“自由航行”的翅膀
但是在软件上,其执行抗击传染病的防疫工作,是有天然优势的——军队是严格金字塔指挥结构,令行禁止是现代化军队的基本特征。因此在军队内部执行隔离、封锁等防疫工作,比要求城市平民来遵守“封城”指令简单多了,因为服从命令是每个军人的义务。
这是军队组织结构给我的既有印象,所以起初看到此前美国航母上发现检测阳性的水兵时,我也一直认为这是疏忽,属于偶然,强敌不会同一个错误犯第二次,美国航母上的疫情,肯定会被控制住的!
▲机库平坦开阔,机库门巨大且朝着大海,十分适合设立临时隔离区
在我之前的想象中,“罗斯福”号航母早就采取了相当积极的手段——比如暂时关停确诊水兵所在战位舱室、及其居住兵舱的通风系统,立刻进行消毒杀菌;打开通向升降机的机库门(直接朝着大海)强化通风,并在下风口处设立密接人员的临时隔离住所。
▲在隔绝传染病病毒上,防火头套也可以兼用作口罩,至少比特朗普说的用围巾还要好些
对于一艘作战舰艇而言,其个人防护、隔离设备是完全不可能缺乏的;特别是历来强调损管的美军,舰上损管用的防火服,个人佩戴的防火头套,虽然戴久了肯定不舒服,但要么可以作为临时口罩,要么防护力比医用口罩与防护服还要强。
▲装备独立呼吸系统的消防队
航母上搭载的陆战队员,也有自己的防毒面具。诛心点说,哪怕有航母水兵觉着穿全套太累,不愿意遵从检疫隔离,这些陆战队员甚至可以立刻端着步枪,执行舰长命令进行弹压造反水兵——好歹这也是西方军舰搭载陆战队的“初心”嘛。
然而现实证明——从几个、到几十个、再到如今的200个,新冠肺炎疫情在美国航空母舰上的传播,根本没有刹住车。这些措施我一个军事爱好者能想到,美国航空母舰上的专业军人会想不到?非不能也,实不为也!
从美国高层的视角来看,其航空母舰是霸权象征,不可能被一个病毒——或者如其三军统帅特朗普所说的“只是另一种流感”轻易打倒,所以美国高层坚持让航空母舰处于部署状态;之前说了,军队的严格金字塔结构确实利于执行命令,然而当命令是错误的、违反人性时,同样也会被执行下去:即使事到如今航母舰长在舆论上戳破脓包,最多也只算是放弃个人前程,依然没有抗命不遵。
▲虽然在信件中言辞恳切,但克罗齐耶舰长依然是在执行既定的命令
进一步说,西方军队的组织结构与文化氛围决定了,其军官、士官、士兵阶级分明;甚至除了必要的命令传达、业务交流以外,平时交流较少,情绪也不相通。当贵为海军上校的舰长为了部下的身体健康与生命安全忧心忡忡之时,美国航母舰员中的士官与水兵,可能还保持着与华盛顿首脑一致的、觉得疫情无关紧要的态度——总统都说了这不算啥,我们有什么好担心的?
相比之下,克罗齐耶舰长的态度,已经是非常讲求科学的:他按照疾控中心与海军行政命令的指导方针,将所有舰员不分职衔全部定义为“密切接触人员”。然而还有一个问题,属于美国整个国家到现在为止还没有共识的——口罩到底有没有用,健康人是不是不用戴口罩?
▲连塔利班都比你们懂!
根据我国以及周边国家成功的防疫经验,口罩显然是有相当作用的,而且其保护作用还是相互的:根据笔者回忆,小时候如果感冒了但继续去上学,是要戴上口罩,防止传染给老师和同学的。
然而美国专家还在“研究普遍戴口罩到底有没有用”,高级专家还在担心“民众普遍戴口罩挤占医疗人员所需物资”。这种普遍不戴口罩的态度,在航空母舰上也是一样的,因此哪怕有很多代用器材,甚至有高级防护器材,如果器材不运用起来,那就和没有器材没有任何区别。
依照新型冠状病毒肺炎的“气溶胶传播特性”,在航空母舰的集体超压三防系统里,病毒很自然就实现了“航行自由”;其所到之处,全是普遍不戴口罩的美国海军舰员——这就是我们之前提及的,除非是专门的传染病医院船,既有的舰船通风系统,一旦有一个船员感染,便让整艘船只变成了巨大的“病毒蒸笼”。
总之,克罗齐耶舰长的这封公开信,让全世界都看到了美国海军乃至美国的象征——超级航母,在疫情面前的脆弱。有人说,面对疫情,人类当有共情。然而克罗齐耶的信件中也表明,强敌依然是强敌,他给出的建议策略里,给出的第一个选项就是“不管疫情、即刻开打”。
▲英国现实决策不行,表现英国决策过程的电视剧倒是很行
虽然克罗齐耶举例立刻开打的意图很明确,是在给出一个不可能的选项的同时,强调“现在并非战时,不应放任我的舰员去送死”;是强调目前唯一的抗疫办法,就是“应当立即采取果断措施,全舰隔离”。但面对如今疫情愈演愈烈的美国国内形势,会不会有高层政客一拍大腿说:嗨呀!我怎么就没想到呢?立刻采取国内危机国外解决的办法……
▲按照段子里的讲法,年初特朗普决策在伊拉克刺杀苏莱曼尼,就是这种“选常人所不能选”的结果。。。。。。
虽然克罗齐耶舰长的信件措辞严谨、恭敬,但是字里行间反复提及“decisive action”,不难看出他对于美国海军现行的传染病防治有相当大的意见。岂止是美国海军,整个美军的表现,到目前为止都是令人震惊到大跌眼镜的——在此次传染病疫情面前,疫情交期为严重的主要国家不是只有美国一个,也包括我们、俄罗斯、意大利、西班牙等,但是这些国家的军队都是在迅速完成对自身的防疫工作以后,投入到拯救国家、拯救人民的工作中去。
一如前文所述,美军存在的问题,是深深根植于美国社会之中的。
▲俄军还能协助意军进行抗击传染病工作,美军已然是自顾不暇
想起信件结尾那句“request all available resources to。。。”,作为整封信情绪的最高峰,其焦虑与急迫之情,已经溢于言表。作为美国海军核动力超级航母“西奥多·罗斯福”号上的舰长,海军上校克罗齐耶已经在奔走呼号,不计个人得失,试图拯救他的4000名下属。
然而,光有一个好舰长,能救得了所有美军吗?
本栏目所有文章目的在于传递更多信息,并不代表本网赞同其观点和对其真实性负责。凡本网注明版权所有的作品,版权均属于网,凡署名作者的,版权则属原作者或出版人所有,未经本网或作者授权不得转载、摘编或利用其它方式使用上述作品。
军事:最多军迷首选的军事门户!


